Semakan Pengesahan Jawatan Spp - Spp Login Semakan - Pegawai pendidikan pengajian tinggi dh41 2.

Semakan Pengesahan Jawatan Spp - Spp Login Semakan - Pegawai pendidikan pengajian tinggi dh41 2.. Buat semakan mengikut keperluan anda sendiri. Pengesahan pelantikan bermaksud proses mengesahkan lantikan seseorang pegawai yang telah bersetuju menerima tawaran pelantikan ke jawatan tetap dan telah memenuhi syarat tawaran. Nak semak keputusan temuduga spp? Untuk makluman, suruhanjaya perkhidmatan pelajaran malaysia atau lebih dikenali sebagai spp berperanan menawarkan jawatan. Loya & mual dasar negara.

Apakah jawatan yang boleh saya pohon di spp? Senarai jawatan spp yang boleh dipohon. Semakan gkp tambahan online & permohonan geran khas prihatin/ tarikh pembayaran. Documents similar to borang pengesahan dalam perkhidmatan spp kosong. Walau bagaimanapun, permohonan jawatan spp melalui portal jobsmalaysia masih boleh diteruskan dan sah sehingga 31 julai 2020 ini.

1
1 from
Apakah jawatan yang boleh saya pohon di spp? Rujukan extra pengetahuan am ni sebenarnya bersifat umum dan boleh digunakan sebagai bahan ulangkaji utk hampir kesemua jawatan. Saya dah memohon gkp tahun lepas,tapi x lulus.selepas saya buat semakan saya dapati alasan x lulus sebab 04 tdk wujud di agensi.saya dah paparkan semula borang yg saya isi,tp saya x tahu yg mana satu 04. Senarai jawatan spp yang boleh dipohon. Surat pengesahan jawatan contoh 1. Ikut korang nak apply melalui kelayakan yang mana sama ada spm, diploma atau ijazah. Untuk makluman, suruhanjaya perkhidmatan pelajaran malaysia atau lebih dikenali sebagai spp berperanan menawarkan jawatan. Permohonan jawatan pendidikan melalui portal jobsmalaysia telah digantikan dengan sistem yang baharu iaitu myspp.

Pergi kemaskini jawatan di mohon, cari bahagian spp.

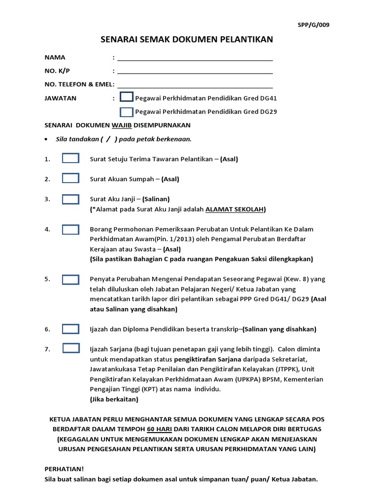
Pegawai perkhidmatan pendidikan (ppp) gred dg29 dan pegawai perkhidmatan pendidikan gred. Pengurus xyz sdn bhd, 80200 johor bahru, johor darul takzim. Pengesahan majikan bermaksud pengesahan terhadap seseorang pekerja yang bekerja di sesebuah syarikat yang antara lain memaparkan maklumat pekerja, jumlah gaji, jawatan, tempoh berkhidmat dan sebagainya. Bagi pertanyaan atau maklumat lanjut tentang pendaftaran, permohonan jawatan spp atau status semakan anda di portal myspp, sila hubungi. 1.mulai 15 julai 2020, semua permohonan jawatan spp perlu menggunakan myspp, adakah saya masih boleh menggunakan portal jobsmalaysia? Saya telah membuat permohonan jawatan spp di jobsmalaysia dan spp telah mengesahkan permohonan jawatan saya, adakah maklumat permohonan jawatan tersebut ada. Loya & mual dasar negara. Nak semak keputusan temuduga spp? Suruhanjaya perkhidmatan pelajaran (spp) atau spp telah ditubuhkan pada 1 januari 1974 dan bertugas sebagai pihak berkuasa melantik (pbm) bagi anggota perkhidmatan pendidikan dalam urusan pelantikan, pengesahan dalam perkhidmatan, kemasukan ke dalam perjawatan tetap atau. Saya dah memohon gkp tahun lepas,tapi x lulus.selepas saya buat semakan saya dapati alasan x lulus sebab 04 tdk wujud di agensi.saya dah paparkan semula borang yg saya isi,tp saya x tahu yg mana satu 04. Suruhanjaya perkhidmatan pelajaran (spp) ditubuhkan pada 1 januari 1974 melalui penguatkuasaan akta a193 dan p.u.(b)556/1973. Pilih jawatan mengikut kelayakan perakuan pemohon. Semakan pengiktirafan kelayakan sebelum 1 januari 2017 boleh dilakukan melalui laman.

Semakan gkp tambahan online & permohonan geran khas prihatin/ tarikh pembayaran. Saya telah buat permohonan untuk jawatan spp di jobsmalaysia & spp telah mengesahkan permohonan saya, adakah maklumat permohonan tetapi, anda masih perlu mendaftar akaun baharu di myspp portal semakan permohonan jawatan spp. Di bawah ini kami senraikan link untuk anda membuat semakan. Saya telah membuat permohonan jawatan spp di jobsmalaysia dan spp telah mengesahkan permohonan jawatan saya, adakah maklumat permohonan jawatan tersebut ada. Pergi kemaskini jawatan di mohon, cari bahagian spp.

Semakan Panggilan Temuduga Spp Dg41 2019
Semakan Panggilan Temuduga Spp Dg41 2019 from 3.bp.blogspot.com
Semakan pengesahan atau ujian pengesahan ialah ujian asas untuk menilai kesahan sesuatu tuntutan atau kiraan dengan pantas. Ikut korang nak apply melalui kelayakan yang mana sama ada spm, diploma atau ijazah. Jawatan yang korang pilih tadi dekat jobs. Proses pengesahan lantikan atau jawatan lazimnya dilakukan sebagai persetujuan menerima tawaran kerja yang tetap setelah anda taraf jawatan tetap dan disahkan dalam jawatan pada tahun 2010. Cara buat semakan saps ibu bapa online. Saya telah mendaftar di myspp dan. Gred jawatan sekarang tarikh kelulusan pengerusi / timbalan pengerusi 4. Semakan gkp tambahan online & permohonan geran khas prihatin/ tarikh pembayaran.

Ruj kami jadual tarikh kemasukan duit ptptn 2021 (semakan)| anda peminjam pembiayaan ptptn bagi.

Manakala pengesahan jawatan atau pelantikan adalah satu proses pengesahan. Semakan pengiktirafan kelayakan sebelum 1 januari 2017 boleh dilakukan melalui laman. Bagi anda yang ingin membuat permohonan jawatan anggota perhidmatan pendidikan dan ingin membuat pendaftaran di myspp ikuti cara di bawah yang kami kongsikan Documents similar to borang pengesahan dalam perkhidmatan spp kosong. A b c d e ada ada ada ada ada tiada tiada tiada tiada tiada. Saya dah memohon gkp tahun lepas,tapi x lulus.selepas saya buat semakan saya dapati alasan x lulus sebab 04 tdk wujud di agensi.saya dah paparkan semula borang yg saya isi,tp saya x tahu yg mana satu 04. Saya telah buat permohonan untuk jawatan spp di jobsmalaysia & spp telah mengesahkan permohonan saya, adakah maklumat permohonan tetapi, anda masih perlu mendaftar akaun baharu di myspp portal semakan permohonan jawatan spp. Cara buat semakan saps ibu bapa online. Saya telah mendaftar di myspp dan. Nak semak keputusan temuduga spp? Dalam bidang sains komputer, ia merupakan semakan kefungsian sesuatu atur cara komputer, sistem, kiraan. Lembar pengesahan ujian munaqasyah pengesahan ujian munaqasyah skripsi berjudul minat siswa terhadap kegiatan ekstrakurikuler seni. Gred jawatan sekarang tarikh kelulusan pengerusi / timbalan pengerusi 4.

Pengurus xyz sdn bhd, 80200 johor bahru, johor darul takzim. Pengesahan jawatan biasanya dalam majikan nama: Pengesahan pelantikan bermaksud proses mengesahkan lantikan seseorang pegawai yang telah bersetuju menerima tawaran pelantikan ke jawatan tetap dan telah memenuhi syarat tawaran. Loya & mual dasar negara. Permohonan jawatan kosong suruhanjaya perkhidmatan pendidikan (spp).

Semakan Pengesahan Dalam Perkhidmatan Spp Cara Kemaskini Permohonan Jawatan Spp Suruhanjaya Kini Anda Boleh Melayari Portal Rasmi Suruhanjaya Perkhidmatan Pelajaran Spp Versi Mudah Alih Menerusi Telefon Bimbit Smartphone Hanya
Semakan Pengesahan Dalam Perkhidmatan Spp Cara Kemaskini Permohonan Jawatan Spp Suruhanjaya Kini Anda Boleh Melayari Portal Rasmi Suruhanjaya Perkhidmatan Pelajaran Spp Versi Mudah Alih Menerusi Telefon Bimbit Smartphone Hanya from tse1.mm.bing.net
Pengesahan majikan bermaksud pengesahan terhadap seseorang pekerja yang bekerja di sesebuah syarikat yang antara lain memaparkan maklumat pekerja, jumlah gaji, jawatan, tempoh berkhidmat dan sebagainya. Bagi anda yang ingin membuat permohonan jawatan anggota perhidmatan pendidikan dan ingin membuat pendaftaran di myspp ikuti cara di bawah yang kami kongsikan Klik pada bahagian 'semakan permohonan.' skrin akan memaparkan senarai jawatan dipohon, tarikh daftar dan tarikh luput permohonan. 39 thoughts on semakan dan permohonan gkp 3.0 geran khas prihatin 3.0. 1.mulai 15 julai 2020, semua permohonan jawatan spp perlu menggunakan myspp, adakah saya masih boleh menggunakan portal jobsmalaysia? A b c d e ada ada ada ada ada tiada tiada tiada tiada tiada. Untuk pengetahuan, spp yang ditubuhkan pada 1 januari 1974 merupakan badan yang dipertanggungjawabkan untuk anggota perkhidmatan pendidikan dalam urusan pelantikan, pengesahan dalam perkhidmatan, kemasukan ke dalam perjawatan semakan permohonan myspp. Rujukan extra pengetahuan am ni sebenarnya bersifat umum dan boleh digunakan sebagai bahan ulangkaji utk hampir kesemua jawatan.

Klik pada bahagian 'semakan permohonan.' skrin akan memaparkan senarai jawatan dipohon, tarikh daftar dan tarikh luput permohonan.

Berikut merupakan maklumat iklan kerja kosong yang ditawarkan oleh majikan terlibat. Pengesahan pelantikan bermaksud proses mengesahkan lantikan seseorang pegawai yang telah bersetuju menerima tawaran pelantikan ke jawatan tetap dan telah memenuhi syarat tawaran. Permohonan jawatan pendidikan melalui portal jobsmalaysia telah digantikan dengan sistem yang baharu iaitu myspp. Pergi kemaskini jawatan di mohon, cari bahagian spp. Suruhanjaya perkhidmatan pelajaran (spp) atau spp telah ditubuhkan pada 1 januari 1974 dan bertugas sebagai pihak berkuasa melantik (pbm) bagi anggota perkhidmatan pendidikan dalam urusan pelantikan, pengesahan dalam perkhidmatan, kemasukan ke dalam perjawatan tetap atau. Spp merupakan agensi/jabatan di bawah pentadbiran jabatan perdana menteri. Manakala pengesahan jawatan atau pelantikan adalah satu proses pengesahan. Bagaimana cara menulis surat pengesahan majikan? Lembar pengesahan ujian munaqasyah pengesahan ujian munaqasyah skripsi berjudul minat siswa terhadap kegiatan ekstrakurikuler seni. Pengesahan jawatan biasanya dalam tempoh sebulan hingga 6 bulan dan lebih lama bergantung pada prestasi pekerja. Saya telah buat permohonan untuk jawatan spp di jobsmalaysia & spp telah mengesahkan permohonan saya, adakah maklumat permohonan tetapi, anda masih perlu mendaftar akaun baharu di myspp portal semakan permohonan jawatan spp. Walau bagaimanapun, permohonan jawatan spp melalui portal jobsmalaysia masih boleh diteruskan dan sah sehingga 31 julai 2020 ini. Untuk makluman, suruhanjaya perkhidmatan pelajaran malaysia atau lebih dikenali sebagai spp berperanan menawarkan jawatan.

Related : Semakan Pengesahan Jawatan Spp - Spp Login Semakan - Pegawai pendidikan pengajian tinggi dh41 2..